हिन्दी समाचार : रायगढ़
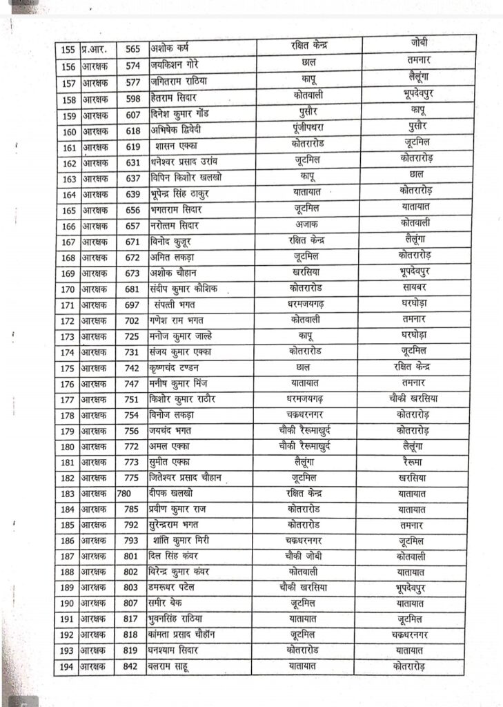
जिला में पुलिस विभाग में बड़ा प्रशासनिक फेरबदल किया गया है। कानून व्यवस्था को और मजबूत बनाने के उद्देश्य से पुलिस अधीक्षक द्वारा जिले के विभिन्न थानों और चौकियों में पदस्थ कई पुलिसकर्मियों का थोक में तबादला किया गया है।जारी आदेश के अनुसार दो सौ से भी अधिक पुलिसकर्मियों को एक थाना क्षेत्र से दूसरे थाना क्षेत्र में स्थानांतरित किया गया है। लंबे समय से एक ही जगह पर पदस्थ पुलिसकर्मियों को भी नई जिम्मेदारी देते हुए अलग-अलग थानों में भेजा गया है।पुलिस विभाग के इस तबादला आदेश के बाद संबंधित पुलिसकर्मियों को तत्काल प्रभाव से नई पदस्थापना स्थल पर कार्यभार ग्रहण करने के निर्देश दिए गए हैं। विभाग का मानना है कि इस फेरबदल से पुलिस व्यवस्था और अधिक प्रभावी होगी तथा क्षेत्र में कानून व्यवस्था बनाए रखने में मदद मिलेगी।

















